Luís Renato da Silveira COSTA*
Médico Legista do
Departamento Médico Legal de Vitória ES
Professor de Medicina Legal do Curso de Direito do Centro de Ciências Sociais de Vila
Velha ES
Professor de Deontologia Médica da Escola de Medicina da Santa Casa de Misericórdia de
Vitória ES
Mestre em Ciências Área de Odontologia Legal e Deontologia FOP / UNICAMP
SP
Doutor em Ciências Área de Odontologia Legal e Deontologia FOP / UNICAMP
SP
COSTA, L.R.S. Estimativa do tempo de
morte, através da análise do esfriamento corporal e sua importância pericial.
RESUMO:
O autor,
neste trabalho, analisa o comportamento da temperatura corporal após a morte,
estabelecendo parâmetros que possam orientar os peritos, nas situações em que a
determinação do tempo de morte se fizer necessária. Observou a variação da
temperatura corporal em 42 (quarenta e dois) cadáveres não identificados, vítimas de
morte violenta que faleceram em um Pronto Socorro de Urgências de Vitória - ES e que
posteriormente foram encaminhados ao Departamento Médico Legal de Vitória (DML), dos
quais se conhecia a hora da morte. Foi feito um acompanhamento das variações da
temperatura corporal e da temperatura ambiente, através da medição via retal,
utilizando-se um termômetro de mercúrio. Os resultados obtidos foram submetidos à
análise matemática e à análise estatística.
UNITERMOS: Tanatologia, Cronotanatognose, Temperatura corporal.
1. Introdução
A morte, segundo ALCÂNTARA, é "a cessação completa
e definitiva das funções auto-conservadoras, renovadoras e multiplicadoras da matéria
orgânica que perde, assim, suas propriedades vitais".
CARVALHO a define como "a desintegração irreversível da
personalidade, em seus aspectos fundamentais morfo-fisiológicos, de molde a fazer cessar
a unidade bio-psicológica, como um todo funcional e orgânico".
Para SIMONIN, "a morte constitui um processo que se inicia
nos centros vitais cerebrais ou cardíacos e se propaga, progressivamente a todos os
órgãos e tecidos, ocorrendo inicialmente a morte funcional e depois a morte
tissular".
Até recentemente aceitava-se a morte como o cessar total e permanente
das funções vitais. Atualmente, este conceito foi ampliado a partir do conhecimento de
que a morte não é um puro e simples cessar das funções vitais, mas sim uma gama de
processos que se desencadeiam durante um período de tempo, comprometendo diferentes
órgãos, CROCE & JÚNIOR.
Dois conceitos de morte prevalecem hoje: a morte cerebral, indicada
pela cessação da atividade elétrica do cérebro e a morte circulatória, indicada por
parada cardíaca irreversível às manobras de ressuscitação e outras técnicas.
Independentemente do critério adotado para a caracterização da
morte, o que se procura determinar, na prática, são os sinais indiscutíveis de morte: a
cessação dos fenômenos vitais e o surgimento dos fenômenos ditos abióticos ou avitais
(imediatos e consecutivos).
Relacionados entre os fenômenos abióticos imediatos, ou seja, aqueles
que ocorrem imediatamente após a morte estão: a perda da consciência, a cessação dos
batimentos cardíacos com conseqüente ausência de pulso, a cessação da respiração, a
perda da sensibilidade cutânea, a abolição do tônus muscular e o relaxamento dos
esfíncteres.
Entre os fenômenos abióticos consecutivos, assim chamados os que se
seguem à morte, registram-se: a rigidez e o espasmo cadavéricos, os livores de
hipóstase, o dessecamento e o esfriamento corpóreo.
Outras alterações orgânicas, essencialmente de natureza bioquímica,
são descritas entre os fenômenos consecutivos à morte: a formação dos gases de
putrefação, o aparecimento da mancha verde abdominal, o aparecimento dos cristais de
Westenhoffer-Rocha-Valverde no sangue putrefeito, as modificações do ponto de
congelação (crioscopia) do sangue, o crescimento dos pêlos da barba, o estudo do
conteúdo estomacal e do conteúdo vesical, as alterações observadas ao exame de fundo
de olho, as alterações bioquímicas do líquido cefalo-raquiano, as modificações da
pressão intra-ocular, além das variações de concentração do íon potássio e de
outras substâncias no humor vítreo.
RODRIGUES, A.C., em sua tese de livre-docência, estudou o tempo
da morte pela tonometria do globo ocular. Após a morte, há perda de líquido ocular, com
diminuição da pressão do globo, que sofre uma retração característica. O autor
conseguiu medir, indiretamente, o volume perdido, injetando água na câmara anterior do
olho até obter aspecto normal. Com apropriada técnica estatística, relacionou o volume
injetado (equivalente ao perdido) com o tempo de morte, e elaborou uma tabela para
consulta e verificação indireta.
Todos estes fenômenos são passíveis de estudo, quando o diagnóstico
cronológico da morte (cronotanatognose ou tanatocronodiagnose) se faz necessário;
entretanto, a maioria das alterações bioquímicas requer, para sua caracterização e
sistematização aparelhos especiais e técnicas próprias, recursos estes nem sempre à
disposição da maioria dos serviços periciais do país.
Um dos mais interessantes assuntos em medicina forense é o estudo do
tempo decorrido de morte, quando se busca, através de análises e avaliações diversas,
estimar com maior precisão este período.
Na prática pericial, várias são as situações em que se torna
necessário estimar o tempo decorrido de morte, como forma de atender aos questionamentos
da Justiça.
Na esfera civil, não raramente há necessidade de determinar quem
morreu primeiro, se o pai ou o filho pois, na dependência da ordem de falecimento, uma
herança pode ir para uma ou outra família.
O artigo 11o. do Código Civil Brasileiro estabelece: "Se
dois indivíduos falecerem na mesma ocasião, não se podendo averiguar se algum dos
comorientes precedeu ao outro, presumir-se-ão simultaneamente mortos".
Na área criminal, seja para confirmar ou contestar álibis, seja
com a finalidade de se estabelecer a dinâmica do fato criminoso, ou ainda para que se
possa tentar reconstituir os últimos passos da vítima, também o perito é chamado a
estimar a hora da morte.
É comum, nos filmes policiais, o perito afirmar, com absoluta
precisão, o tempo de morte, lançando mão apenas dos seus sentidos, como a visão e o
tato. Entretanto, rotineiramente, este profissional depara-se com uma enorme dificuldade
em tal caracterização, em virtude da inespecificidade dos dados habitualmente
analisados, em sua maioria de avaliação qualitativa, permeados, portanto, de grande
subjetividade.
Segundo KNIGHT, o perito de hoje passou a contar com recursos
mais específicos para esta análise, como: tabelas de esfriamento corpóreo, dosagens
bioquímicas dos fluidos orgânicos, tabelas de avaliação da excitabilidade muscular,
entre outros. Mesmo que o profissional pudesse utilizar, em sua atividade pericial, todos
esses dados, ainda seria difícil estimar, com absoluta precisão, a hora da morte, tantas
são as variáveis a interferir na evolução dos fenômenos cadavéricos, GOMES.
A cronotanatognose desperta hoje, entre os profissionais que se dedicam
à ciência legispericial, grande interesse.
Dentre os fenômenos que permitem uma avaliação mais aproximada da
hora real da morte e que tem sido habitualmente utilizados, destacam-se, principalmente, a
rigidez cadavérica, os livores de hipóstase e o esfriamento corporal.
A rigidez cadavérica, é um fenômeno cadavérico consecutivo,
constituindo-se em sinal preciso de morte, mas que possui valor relativo e limitado quando
se objetiva a determinação da hora da morte, por ser avaliada através de critérios
qualitativos.
No estudo da cronotanatognose, a rigidez cadavérica não deve
ser considerada isoladamente.
Os livores ou manchas de hipóstase, por sua vez, são
originados pela deposição de sangue nas partes declivosas do cadáver.
Estudos mostram que a análise dos livores, seu aparecimento e
fixação, pode contribuir, de alguma forma, no estudo da cronotanatognose,
constituindo-se, também, em método complementar, sujeito à possíveis falhas em sua
caracterização, devido à subjetividade que permeia esta avaliação.
Esfriamento corpóreo:
A temperatura interna do organismo vivo permanece, quase sempre
constante, com pequenas variações (0,4 a 0,6
° C), GUYTON.
Os mecanismos que garantem a manutenção da temperatura interna,
representam um sistema extremamente organizado, comandado por um centro regulador
localizado no hipotálamo.
Além de neurônios sensíveis ao calor, participam do processo outros
receptores térmicos localizados na pele (receptores cutâneos) e em alguns órgãos do
corpo (receptores viscerais).
A superfície corporal tem uma importância muito grande no controle
termo-regulador, posto que é através desta superfície que ocorrem as trocas de calor
com o meio ambiente, através dos processos físicos de radiação, condução,
convecção e evaporação.
As mensurações realizadas em pessoas sadias, mostram que existe uma
faixa de temperatura que pode ser considerada normal, faixa esta compreendida entre 36
° C e 37° C (medição via axilar).
Quando se mede a temperatura por via retal, o valor obtido é
aproximadamente 1oC mais alto que a temperatura tomada através da medição
via axilar e 0,5oC mais alto que a temperatura tomada através da mucosa oral.
A temperatura do corpo é mantida pelo equilíbrio entre a produção
interna de calor e as perdas para o meio ambiente. Uma série de reações químicas
participa ativamente deste processo.
Sem o metabolismo e suas reações químicas exotérmicas nossa
temperatura seria semelhante à do meio ambiente, pois as perdas estão sempre ocorrendo
por irradiação, convecção e condução, GOMES.
Com a morte, cessado o metabolismo, o corpo humano tende a estabelecer
um equilíbrio térmico com o meio ambiente. Entretanto, a temperatura corporal não se
reduz imediatamente, podendo até aumentar no período imediato à morte, devido à
manutenção de alguns processos metabólicos, visto que alguns tecidos morrem de forma
gradativa.
No cadáver, a perda de temperatura por evaporação é mínima,
prevalecendo no esfriamento a perda por convecção e por irradiação. A condução
também participa contribuindo para o esfriamento. Sabe-se, portanto, que o cadáver não
se comporta como um corpo físico homogêneo, sob o ponto de vista térmico.
Por outro lado, a depender do local do corpo onde é realizada a
medição da temperatura, pode-se encontrar curvas de esfriamento diferentes.
Diversos outros autores, em compêndios, referem-se ao esfriamento
corporal como sendo um dos principais processos orgânicos passíveis de análise, no
estudo da cronotanatognose, estabelecendo valores para cálculo, sem considerar as
variáveis sabidamente existentes.
O esfriamento corporal como fenômeno físico, assume na
cronotanatognose uma importância significativa, posto que, dentre os processos
consecutivos à morte, é um dos poucos que permite uma análise quantitativa, através de
medição sistematizada e de fácil aplicação, permitindo o registro das variações de
temperatura a intervalos regulares, apesar do conhecimento de que o esfriamento
corpóreo pode ser influenciado por diversos fatores: a temperatura e a umidade do
ambiente, o arejamento, a temperatura do corpo no momento da morte, o tipo de vestuário,
o estado de nutrição anterior à morte, a posição em que se encontra o cadáver, entre
outros.
Em que pese todas as situações que sabidamente interferem no esfriamento
corporal, acreditamos que seu estudo, desde que aplicado às condições climáticas
locais e mediante um mínimo de sistematização, torna-se de fundamental importância na
estimativa do tempo decorrido de morte, não devendo constituir-se em método único de
análise, e sim em parâmetro auxiliar às demais avaliações que se enquadram no escopo
da cronotanatognose.
2. Proposição
Com relação ao estudo da cronotanatognose, e mais especificamente
no que diz respeito à importância da análise do esfriamento corporal, a maioria dos
registros constantes na literatura especializada, apesar de estabelecerem valores médios
de decréscimo da temperatura a intervalos regulares (por hora), não fazem referências
às situações em que tais valores foram obtidos, tampouco à metodologia utilizada.
Não constam dos registros encontrados referências às temperaturas
dos locais analisados.
Considerando a importância da determinação da hora da morte em
várias situações periciais; considerando que dentre os sinais que constituem os
clássicos fenômenos abióticos consecutivos o esfriamento corpóreo é um dos que
permitem uma análise quantitativa através da medição da temperatura corporal;
considerando a lacuna ainda existente sobre o assunto em nossa região e no Brasil, este
estudo teve por objetivo:
- avaliar a importância real da análise da queda da temperatura corporal após a morte
no estudo da cronotanatognose;
- estimar a queda média da temperatura corporal após a morte em regiões de clima
quente, com temperatura ambiente compreendida entre 20 e 30o C.
- desenvolver, a partir dos dados coletados, uma metodologia própria, de fácil
aplicação em qualquer Serviço Médico Legal, que permita a estimativa do tempo
decorrido de morte através do esfriamento corporal considerando a temperatura ambiente,
fator que influencia fortemente o comportamento da temperatura corporal após a morte.
3. Materiais e métodos
Materiais:
- Amostra estudada;
- Termômetro.
Foram analisados 42 (quarenta e dois) corpos de indivíduos não
identificados, vítimas de morte violenta, que vieram a óbito em um Pronto Socorro de
Urgências de Vitória ES, e que posteriormente foram encaminhados para necrópsia
médico-legal, no período de abril a outubro de 1998. O estudo foi inicialmente realizado
no Pronto Socorro, onde foi registrada a temperatura retal e a temperatura ambiente por
ocasião da morte. As medições foram feitas por enfermeiras do Centro de Tratamento
Intensivo do Hospital, estando os pacientes monitorados. A avaliação teve continuidade
no Departamento Médico Legal de Vitória ES.
Como padronização, foram estudados corpos de indivíduos do sexo
masculino, adultos, com faixa etária estimada entre 20 (vinte) e 50 (cinquenta) anos e
com peso corporal compreendido entre 70 (setenta) e 100 (cem) quilogramas.
O aparelho utilizado para proceder as medições foi um termômetro de
mercúrio, de haste longa, cilíndrico, graduado de -10 a 200o C.
Métodos:
- Medições realizadas;
- Registro das medições;
- Análise matemática dos dados;
- Análise estatística dos dados.
A medição da temperatura corporal foi feita por via retal, por ser
esta uma via que sofre menor influência das variações climáticas ambientais, SIMONSEN.
Foi registrada a temperatura retal no momento da entrada do corpo no
Departamento Médico Legal (sala de necrópsias), com realização posterior de 03 (três)
medições seqüenciais a intervalos de 01 (uma) hora.
Medição da temperatura retal: cadáveres em decúbito dorsal, em maca
de aço inox, sem roupa, sem serem lavados. O termômetro foi introduzido no ânus a uma
profundidade de 5,0 (cinco) centímetros, fazendo-se a leitura após 05 (cinco) minutos.
Para a medição da temperatura da sala de necrópsia foi utilizado o
mesmo termômetro, também exposto durante 05 (cinco) minutos, com leitura posterior.
As medições foram anotadas em ficha específica de registro de
temperatura, posteriormente submetidas a estudo matemático e a estudo estatístico.
4. Discussão dos Resultados
A estimativa do tempo decorrido de morte é tema de estudo por
parte de cientistas e peritos de todo o mundo, seja valorizando observações clínicas ou
mediante técnicas bioquímicas, na dependência dos recursos disponíveis em cada
região.
Na literatura, constata-se que, o estudo da temperatura corporal após
a morte, não é recente. Vários pesquisadores realizaram experiências, constatando que
a temperatura ambiente é um dos fatores que mais interfere nesta análise, podendo
ocorrer elevação de temperatura quando a esta for superior à temperatura corporal
(aquecimento), sendo seu registro importante na estimativa do tempo decorrido de morte
antes que ocorra o equilíbrio térmico, ou seja, nas primeiras horas que se sucedem à
morte.
Os resultados do presente estudo mostram que existe uma forte relação
linear entre a variação da temperatura corporal e o tempo decorrido de morte, o que vem
caracterizar a importância desta análise na cronotanatognose.
Uma fórmula matemática de cálculo foi obtida a partir de uma lei
física, a Lei de Newton do esfriamento, e valoriza uma variável importante, a
temperatura ambiente. Por considerar também duas medições de temperatura em intervalo
de tempo conhecido esta fórmula pode ser aplicada em um grande número de situações.
Assim, havendo necessidade de se estimar a hora provável da morte, ao se examinar um
corpo, e desde que sejam registradas: a temperatura corporal no tempo zero, a temperatura
corporal em um determinado intervalo de tempo e a temperatura ambiente, será possível
obter um valor médio (em horas), ao qual deverá ser aplicada a variância de 30 % para
mais ou para menos, o que corresponde ao índice de erro máximo encontrado na amostra
estudada. Considerando que esta fórmula utiliza dois valores conhecidos de temperatura,
sua aplicação independe da escala utilizada, desde que não ocorram variações
significativas no ambiente, ou seja, desde que as duas medições sejam realizadas no
mesmo local.
Apesar do estudo ter considerado a temperatura corporal medida por via
retal, na aplicação do cálculo pode ser também utilizada a temperatura axilar,
considerando como temperatura média corporal 36,7oC.
Constitui-se o presente trabalho em uma contribuição à disciplina de
Medicina Legal e Odontologia Legal, ampliando as observações no campo da Tanatologia,
estudo dos fenômenos da morte.
5. Conclusões
O estudo da cronotanatognose, nas primeiras horas que se sucedem à
morte, quando se lança mão da análise dos fenômenos abióticos consecutivos, é
extremamente importante; reveste-se, porém, de grande complexidade, devido à gama de
fenômenos químicos e físicos envolvidos.
O estudo em questão permitiu as seguintes conclusões:
1. O modelo de regressão linear estimado representa a relação de
função entre o tempo de morte e a temperatura corporal, constituindo-se em ferramenta de
fundamental importância no estudo.
2. O valor do coeficiente de correlação linear encontrado (r =
0,9791) indicou uma forte relação linear entre as variáveis, confirmando que o
modelo de regressão, ajustado aos dados, explica bem a relação de dependência entre o
tempo de morte e a temperatura corporal, sendo aceitável estatisticamente.
3. O método matemático para a determinação do tempo decorrido de
morte apresenta um erro menor que 30%, quando comparado com dados reais, o que valida
sobremaneira sua aplicabilidade, e permite estimar, com boa precisão, este intervalo (dos
casos estudados, 66,6% apresentaram erro inferior a 10% e 80,9% apresentaram erro inferior
a 20% ).
4. Na amostra estudada, em ambientes com temperatura variável entre 20
e 30oC, a queda média da temperatura corporal, observada na primeira hora
após a morte, situou-se na faixa de 0,9 a 1,0oC e nas horas subsequentes entre
0,6 e 0,7oC.
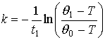
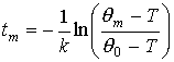
5. Foi possível a elaboração de uma fórmula matemática para a
estimativa do tempo decorrido de morte (tm), a partir das seguintes
variáveis: temperatura ambiente (T) ; temperatura corporal média (
= 37,7 via retal e 36,7 via axilar) ; primeira temperatura medida após
a morte (
) ; segunda temperatura medida após a morte (
) ; diferença do tempo decorrido, em horas, entre a primeira e a
segunda temperatura medida após a morte (
) .
onde

e ln = logaritmo natural ou neperiano.
A fórmula considera a temperatura ambiente uma variável, podendo ser
aplicada em qualquer região, independentemente da escala adotada (oC, oF
ou oK).
Para facilitar a utilização desta fórmula, foi desenvolvido um "software",
que permite um cálculo direto, a partir dos dados coletados. Os cálculos levam a um
valor absoluto, em horas, ao qual deverá ser aplicado um índice de variância de 30%
para mais ou para menos.
6. A tomada da temperatura corporal com a finalidade de se estimar o
tempo decorrido de morte deve constituir-se em método auxiliar na cronotanatognose, sendo
recomendado ao perito lançar mão de outros dados, o que permitirá conclusões mais
consistentes.
7. As variações de temperatura corporal observadas na amostra
estudada constituem-se em uma referência experimental sistematizada e confiável, por
refletirem condições locais, com temperaturas ambientes variando entre 20 e 30oC.
8. Novos estudos tornam-se necessários como meio de assegurar a
representatividade dos resultados obtidos. Isso leva à necessidade de produção de mais
experimentos controlados, que gerem novos dados para comparação, o que deve ser objetivo
de trabalhos futuros.
OBS.: O "software" pode ser obtido diretamente com
o autor, que o enviará sem qualquer
ônus para os interessados.
(NR: download no fim da página)
6. Summary
This study research has to objective to análise the behavior
of the bodys temperature after death, and aim create parameters that can help the
policeman experts on the situations in such: "time of death" is imprecindible to
know.
It were observed the corporal bodys temperature in 42
(fourty-two) corpses, not identified, victim of violent death, and subsequently were sent
to Legal Medical Department of Vitória ES, Brazil, and all of those corpses the
time of death were known. There were registred: the bodys temperature and
ambients temperature at death time; the bodys temperature and ambients
temperature when the corpses got in the Legal Medical Department.
The results were submit to statistical analisis.
7. Key words: Bodys cooling, Time of death,
Chronotanatognosis.
8. Referências Bibliográficas
1. AL-ALOUSI, L.M., ANDERSON, R.A. Microwave thermography in
forensic medicine. Police Surg., Glasgow, v.30, p.30-42, 1986.
2. ALCÂNTARA, H.R. Perícia Médica Judicial. São Paulo:
Guanabara Dois, 1982.
3. BACCINO, E. et al. Outer ear temperature and time of death. Forensic
Science International, v.83, n.2, p.133-146, Dez. 1996.
4. BURMAN, J. On the rate of cooling of the
human body after death. Edinburgh Medicine J., v.25, 1880.
5. CARVALHO, H.V., Compêndio de Medicina Legal. São Paulo:
Saraiva, 2ª. Ed., 1992.
6. CROCE, D., JÚNIOR, D.C. Manual de Medicina Legal. São
Paulo: Saraiva, 2ª.ed., 1995.
7. CUNHA, M.S. Cronologia dos fenômenos cadavéricos em São Paulo.
Tese, São Paulo, 1925.
8. DAVEY, J. Observations on the temperature of the human body after
death. Res. Physiology Anatomy, London, v.1, 1839.
9. DE SARAM, G. Estimation of death by medical criteria.
Forensic Med. J., v.4, p.4, 1957.
10. FÁVERO, F. Medicina Legal. Belo Horizonte: Editora Itatiaia
Ltda, 10ª.ed., 1980.
11. FIDDES, F., PATTEN, T.A. Percentage method for representing the
fall in body temperature after death. Forensic Med. J., v.5, p.2-15, 1958.
12. FRANÇA, G.V. Medicina Legal. Rio de Janeiro: Guanabara
Koogan, 4ª.ed., 1995.
13. GOMES, H. Medicina Legal. Rio de Janeiro: Freitas Bastos
Editora, 32ª.ed., 1997.
14. GUYTON, A.C. Tratado de Fisiologia Médica. Rio de Janeiro:
Guanabara Koogan, 1969.
15. HENSLEY, B. Experiments on the temperature of bodies after death.
The Medical Examiner, Philadelphia, v.2, p.149-152, 1846.
16. HENSSGE, C. Todeszeitchatzungen durch die mathematische
beschriebung der rektalen Leichenabkuhlung unter verschiedenen Abkuhlungsbedingungen.
Zeit Rechstmed, v.87, p.147-178, 1981.
17. HIRAIWA, K. et al. Estimation of postmortem interval from rectal
temperature with the use of computer. Med. Sci. Law, v.20, p.115-125, 1980.
18. HIRSCH, C.S., MORRIS, R.C., MORITZ, A.R. Handbook of legal
medicine. London: The C.V.Mosby Company, 5º.ed., p.16-21, 1979.
19. JAMES, W., KNIGHT, B. Errors in estimating time since death. Med.
Sci. Law, v.5, p.111-116, 1965.
20. JOSEPH, A., SCHIEKELE, A. A general method for assessing factors
controlling post-mortem cooling. Forensic Science J., v.15, p.364-391, 1970.
21. KNIGHT, B. The evolution of methods for estimating the time of
death from body temperature. Forensic Science International, v.36, p.47-55, 1988.
22. LYLE, H., CLEVELAND, F. Determination of the time since death by
heat loss. Forensic Sci. J., v.1, p.11-24, 1956.
23. MARSHALL, T. The cooling of the body after death. MD Thesis,
University of Leeds, 1960.
24. McDOWALL, K.L. et al. The use of absolute refractory period in
the estimation of early postmortem interval. Forensic Science International, v.91,
p.163-170, 1998.
25. POLSON, C.J., GEE, D.J., KNIGHT, B. The essentials of forensic
medicine. Oxford: Pergamon Press, 4ª.ed., p.3-17, 1985.
26. RAINY, H. On the cooling of dead bodies as indicating the lenght
of time since death. Glasgow Med. J., v.1, p.323-330, 1868.
27. RENTOUL, E., SMITH, H. Glaisters Medical Jurisprudence and
Toxicology. Edimburg: Churchill Livingstone, 1973.
28. RODRIGUES, A.C. Contribuição para o estudo do tempo de morte
através da tonometria ocular. Tese, São Paulo, 1963.
29. SELLIER, K. Determination of the time of death by extrapolation
of the temperature decrease curve. Acta Med. Leg. Soc., v.2, p.279-301, 1958.
30. SHAPIRO, H. Medico-legal mythology: the time of death.
Forensic Med. J., v.1, p.1-159, 1954.
31. SIMONIN, C. Medicina Legal Judicial. Barcelona: Editorial
Jims, 2ª.ed., 1966.
32. SIMONSEN, J.V. Determination of the time of death by continuous
postmortem temperature measurement. Med. Sci. Law, v.17, p.112-121, 1977.
33. TAYLOR, A., WILKES, D. On the cooling of the human body after
death. Guys Hospital Rep., 1863.
34. WEBSTER, G. Postmortem temperature and the time of death.
Crim. Law J., v.45, 1955.
35. WOMACK, F. The rate of cooling of the body after death. St.
Barts Hosp. Rep., v.23, 1887.